• Предмет: Алгебра
  • Автор: deimonarn
  • Вопрос задан 8 лет назад

ПРОШУ ПОМОЩИ У людей понимающих алгебру :).

Приложения:

Ответы

Ответ дал: snopikvova629
1

Ответ:

Объяснение:

вот и все легко и просто

Приложения:

deimonarn: Ответ 15?
deimonarn: А то разобрать не могу.
Аноним: во во
Аноним: хуu проссышь какой там ответ
Аноним: каракули какие то
deimonarn: Ха-ха
deimonarn: Это правильно! Благодарю!
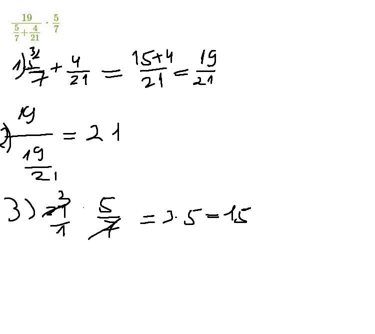
Ответ дал: Kanemarko
1

Ответ:

Сначала избавимся от дробей в знаменателе

5/7 +4/21=19/21( приводим к общему знаменателю)

Имеем : 19/(19:21)=21. (Если число делим на дробь, то дробь переворачиваем)

21*(5:7)=15

Ответ: 15.

Вас заинтересует