• Предмет: Алгебра
  • Автор: zxcvbnm098765
  • Вопрос задан 11 лет назад

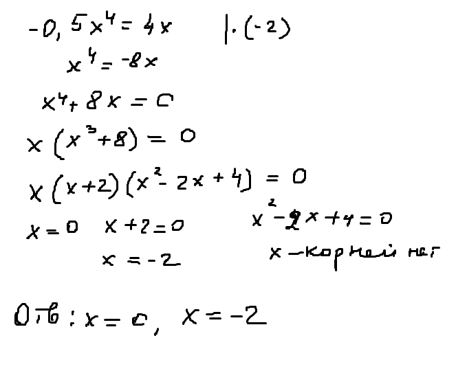
решите уравнение -0,5x^4=4x

Ответы

Ответ дал: esmilya
0
Решениеееееееееееееее
Приложения:
Вас заинтересует