• Предмет: Алгебра
  • Автор: gloria1997
  • Вопрос задан 10 лет назад

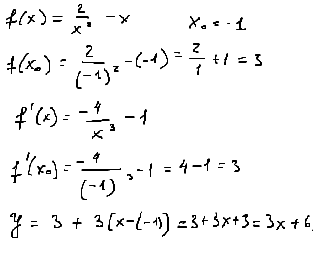
составьте уравнение касательной к графику функции f(x) в точке x0
f(x)=2/x^2-x x0=-1

Ответы

Ответ дал: esmilya
0
решениееееееееееееееееее
Приложения:
Ответ дал: esmilya
0
обращайся, если надо через знания.com. Если я в сети - всегда помогу! )))))
Ответ дал: esmilya
0
я там не сижу ))))))))))))
Ответ дал: gloria1997
0
хорошо)) тогда приду домой добавлю тебя тут в друзья
Вас заинтересует