Ответы
Ответ дал:
1
deimonarn:
Благодарю ещё раз! Вы и вправду гений).
Ответ дал:
1
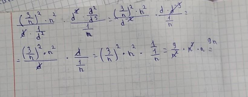
Ответ:
воооот
Объяснение:
оцени пж
думаю провильно
Приложения:

Вас заинтересует
2 года назад
3 года назад
3 года назад
8 лет назад