СРОЧНОО!!! 15 баллов
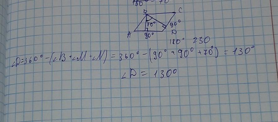
65. У паралелограмі ABCD з вершини тупого кута В проведе-
но висоти вм і BN. кутMBN = 70°. Знайдіть кут D парале-
лограма.
orelarinka2018:
можно ещё с рисунком пожайлуста
Ответы
Ответ дал:
1
Объяснение:
нормально или розписать пошаговые действия?
Приложения:

Вас заинтересует
2 года назад
2 года назад
3 года назад
3 года назад
8 лет назад
9 лет назад