Ответы
Ответ дал:
1
в принципе вот :)
надеюсь помогла
надеюсь помогла
sadubalausa:
можно вопрос, фото видно?
Ответ дал:
1
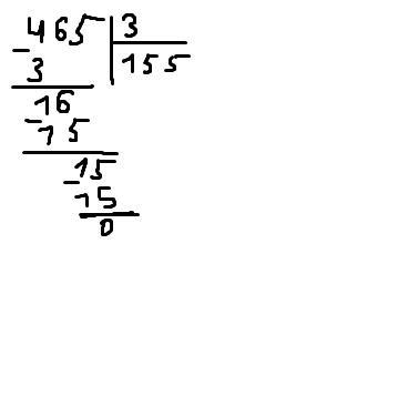
Ответ:
115
Пошаговое объяснение:
внизу фото
Приложения:

Вас заинтересует
2 года назад
2 года назад
3 года назад
3 года назад
8 лет назад
8 лет назад