Ответы
Ответ дал:
1
Ответ дал:
1
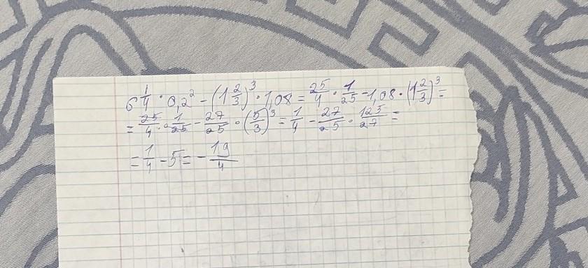
сорри за почерк вроде бы правильно но все это можно было бы через калькулятор сделать
Приложения:

Вас заинтересует
8 лет назад
9 лет назад