• Предмет: Алгебра
  • Автор: Аноним
  • Вопрос задан 8 лет назад

помогите, пожалуйста, срочно!
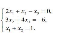
Решить систему линейных уравнений методом Крамера

Приложения:

Ответы

Ответ дал: NNNLLL54
1

Ответ:

\left\{\begin{array}{r}2x_1+x_2-x_3=0\\3x_2+4x_3=-6\\x_1+x_2=1\end{array}\right\\\\\\\Delta =\left|\begin{array}{ccc}2&1&-1\\0&3&4\\1&1&0\end{array}\right|=2\, (0-4)-(0-4)-(0-3)=-1\ne 0

\Delta _1=\left|\begin{array}{ccc}0&1&-1\\-6&3&4\\1&1&0\end{array}\right|=-1\cdot (0-4)-1\cdot (-6-3)=13

\Delta _2=\left|\begin{array}{ccc}2&0&-1\\0&-6&4\\1&1&0\end{array}\right|=2(0-4)-(0+6)=-14\\\\\\\Delta _3=\left|\begin{array}{ccc}2&1&0\\0&3&-6\\1&1&1\end{array}\right|=2(3+6)-(0+6)=12

x_1=\dfrac{\Delta _1}{\Delta }=\dfrac{13}{-1}=-13\ \ ,\ \ x_1=\dfrac{\Delta _1}{\Delta }=\dfrac{-14}{-1}=14\ \ ,\ \ x_1=\dfrac{\Delta _1}{\Delta }=\dfrac{12}{-1}=-12


Аноним: можешь помочь тут?
https://znanija.com/task/45371815
NNNLLL54: могу
Вас заинтересует