Ответы
Ответ дал:
1
Ответ:
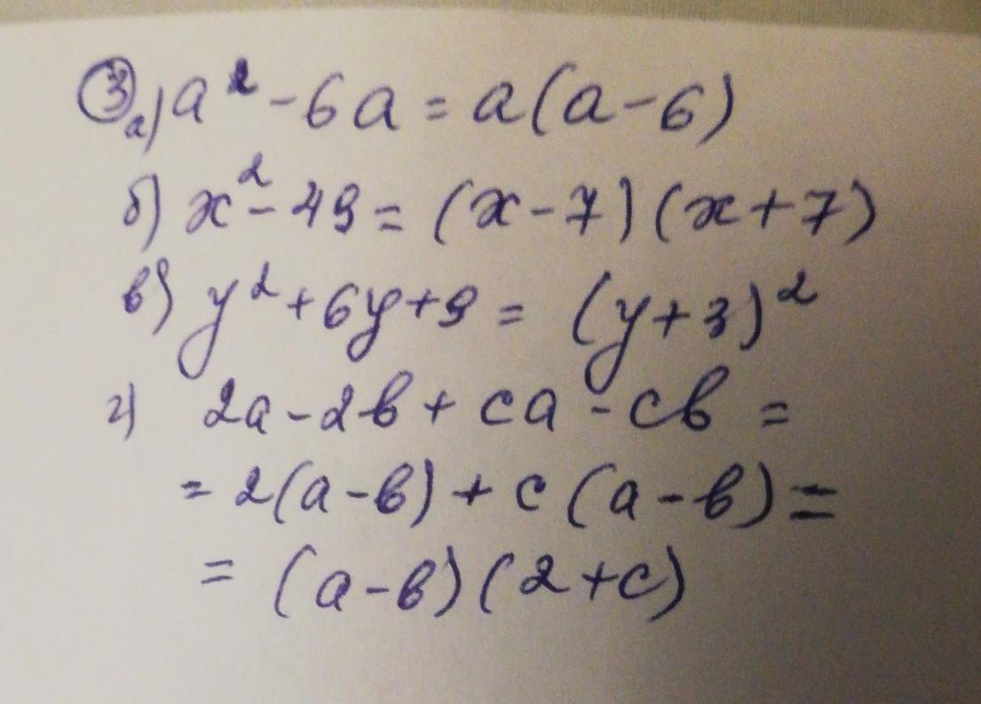
Смотри решение на фото выше
Приложения:




ahtoiiika07:
спасибо огромное
Вас заинтересует
2 года назад
2 года назад
3 года назад
8 лет назад
9 лет назад