Ответы
Ответ дал:
1
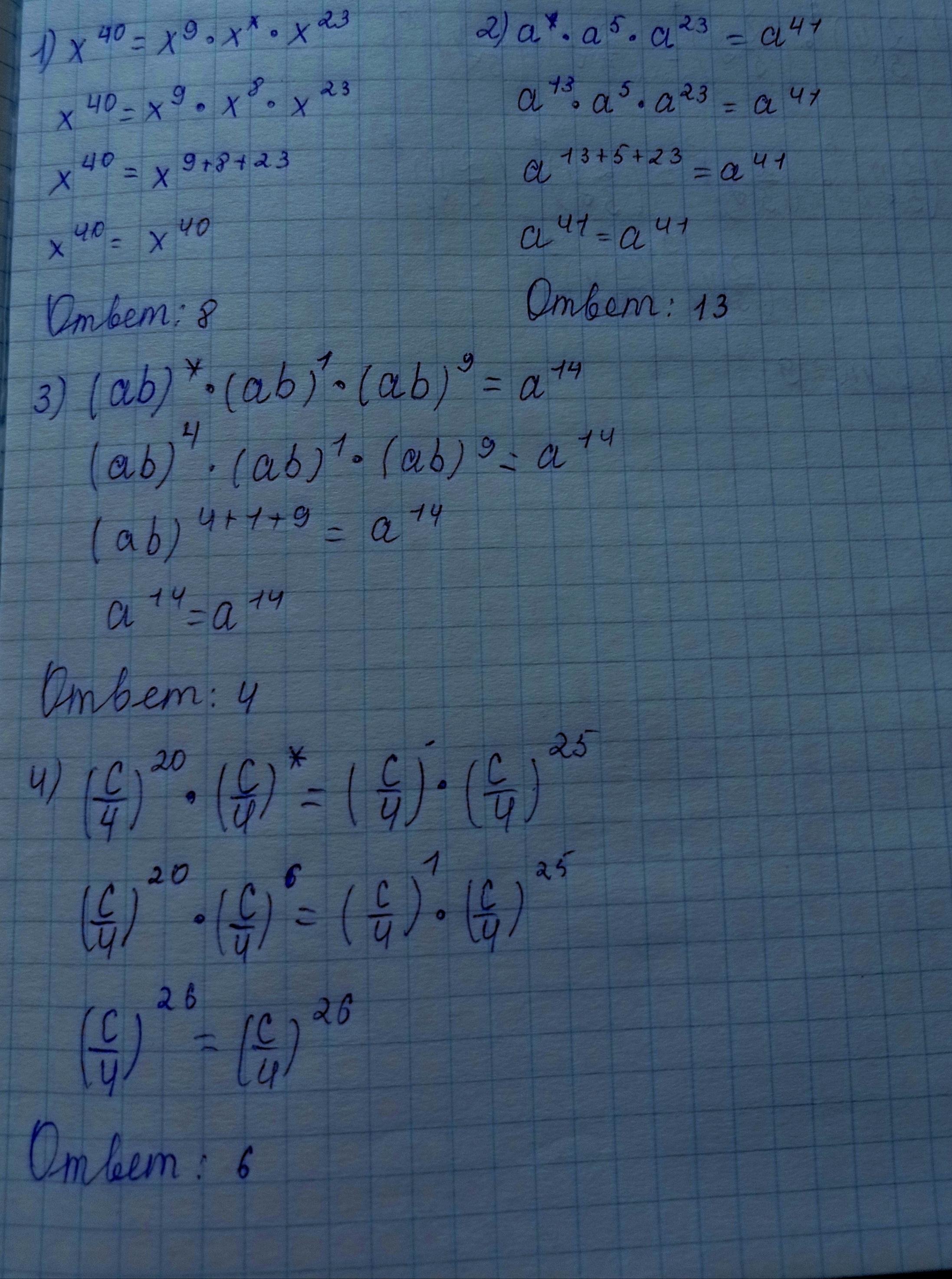
Ответ с решениями внизу
Приложения:


Wolfimn:
Спасибо
Вас заинтересует
3 года назад
8 лет назад
8 лет назад