Ответы
Ответ дал:
1
Ответ:
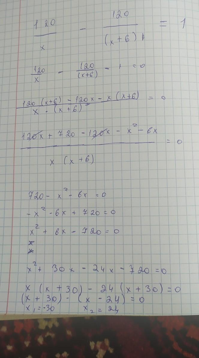
х1=-30 х2=24
Пошаговое объяснение:
Ответ находится в закрепе
Приложения:

AnyVishnu:
не правильно будет тогда ноль а мне нужно 1 . Сорьки
Ответ дал:
1
Вас заинтересует
2 года назад
3 года назад
3 года назад
8 лет назад
8 лет назад
9 лет назад
9 лет назад