• Предмет: Математика
  • Автор: rkia978
  • Вопрос задан 8 лет назад

Помогите, пожалуйста.
Нужно решить задачу (с объяснением).
Очень срочно!) ​

Приложения:

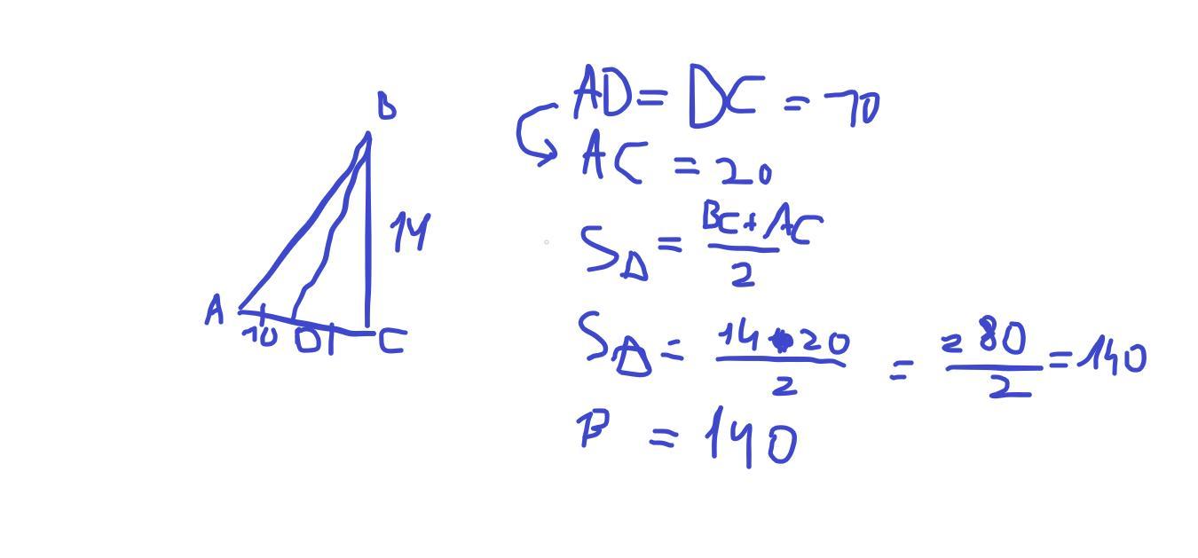
Rekrut98: а неизвестно ли куда падает та линия? в центр или произвольно?
rkia978: Вроде в центр
rkia978: Пунктиров вроде показана высота
Rekrut98: Как в задании написано? Или это все что есть?
rkia978: В задании только этот рисунок
Rekrut98: понял
Rekrut98: Расписывать надо?
rkia978: желательно с объяснением
Rekrut98: Там реально скорее всего в центр падает
rkia978: Да

Ответы

Ответ дал: Rekrut98
1

Ответ:

Пошаговое объяснение:

Приложения:

Rekrut98: То D внизу по центру
rkia978: Спасибо большое!)
Вас заинтересует