• Предмет: Физика
  • Автор: ShiroDark
  • Вопрос задан 8 лет назад

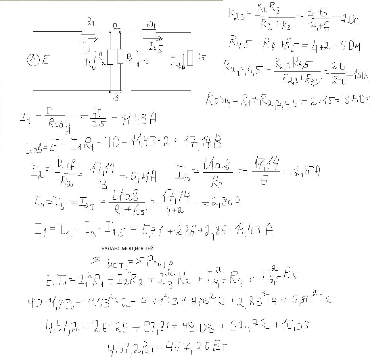
Помогите по физике > найти токи всех сопротивлений и баланс мощности

Приложения:

Ответы

Ответ дал: ssroman72
1

Ответ:

решение по находление токов в сопротивлений и баланс мощностей смотрите на картинке

Объяснение:

Приложения:
Вас заинтересует