• Предмет: Алгебра
  • Автор: yasinalixanov007
  • Вопрос задан 8 лет назад

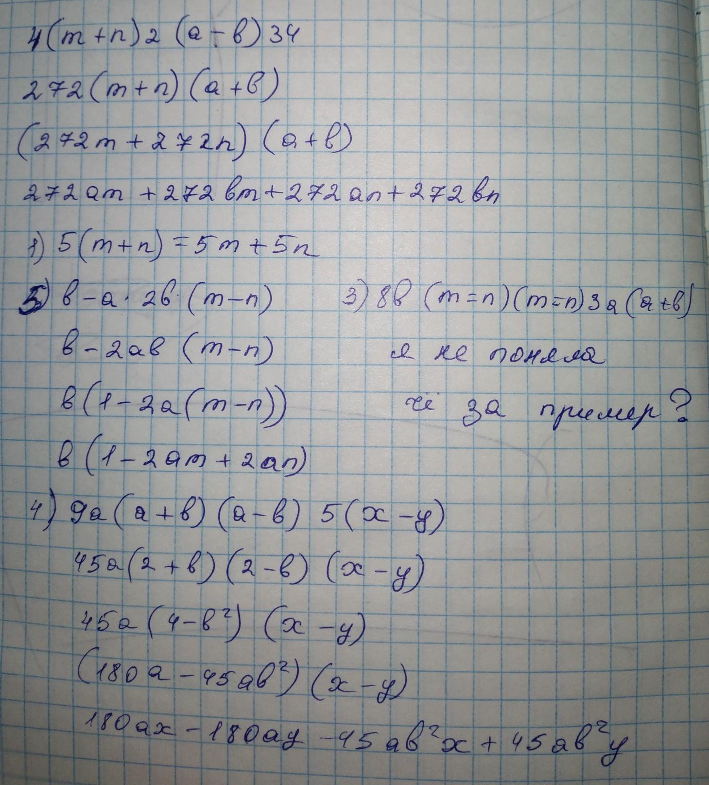
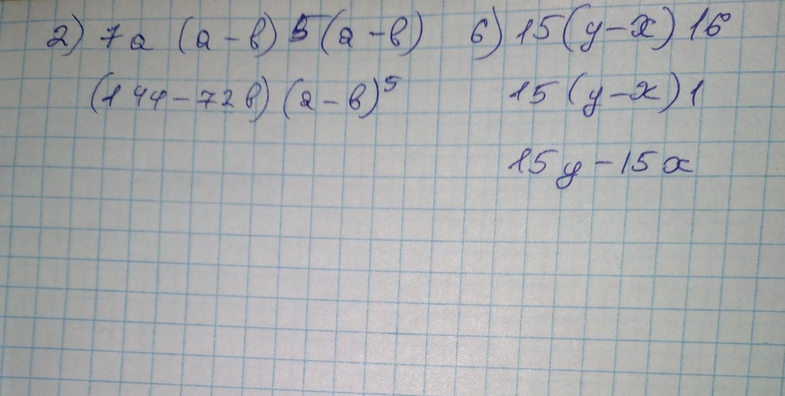
4(m+n) 2 (a-b) 34. 1) 5(m+n) 5) b-a 2b (m-n) 3) 8b (m=n) (m=n) 3a (a+b) 4) 9a (a+b) (a-b) 5(x-y) 2) 7a (a-b) 5 (a-b) 6) 15 (y-x) 16 помогите пж​


khusanovarobia19: отметьте пожалуйста лучший ответ

Ответы

Ответ дал: khusanovarobia19
3

только 3 я не поняла ..............

Приложения:

shoiraxalmatova8: спасиб
Вас заинтересует