• Предмет: Математика
  • Автор: gopicoyeahah
  • Вопрос задан 8 лет назад

СРОЧНО ПЖ ДАЬ МНОГО БАЛЛОВ 78

Приложения:

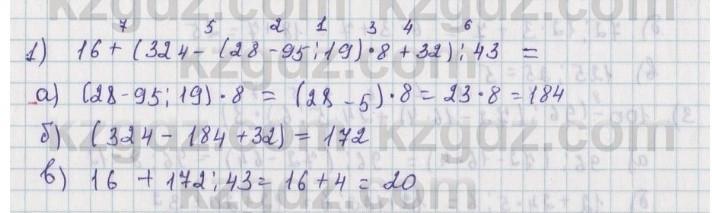
Ответы

Ответ дал: Inenavizhyschool
1

Пошаговое объяснение:

держи, вроде всё понятно, удачи.

Приложения:

gopicoyeahah: Спасибо
Вас заинтересует