Ответы
Ответ дал:
0
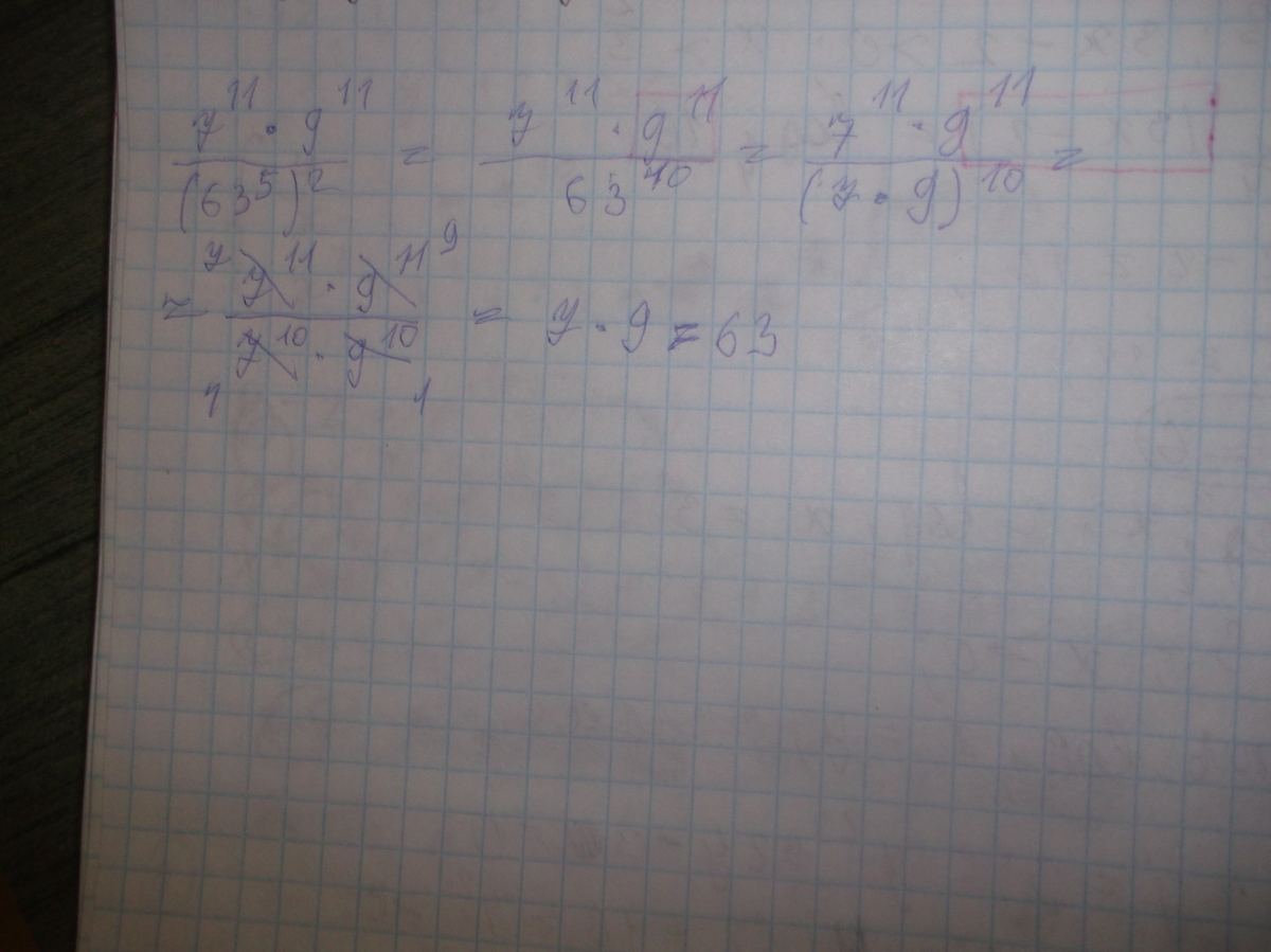
Решение на фото, надеюсь видно.
Приложения:
Ответ дал:
0
7^11*9^11/(63^5)^2
7^11*9^11= (63^5)^2*7*9
(63^5)^2 сокращается ив числителе и в знаминателе и остается только 7*9=63
ответ 63
7^11*9^11= (63^5)^2*7*9
(63^5)^2 сокращается ив числителе и в знаминателе и остается только 7*9=63
ответ 63
Приложения:
Вас заинтересует
3 года назад
3 года назад
8 лет назад
8 лет назад
11 лет назад
11 лет назад
11 лет назад