решение с фото пожалуйста
Приложения:

veroni4kaaaaaa:
что за цифра сверху во второй дроби?
(2/5)^(-6 - (-3) = (2/5)^(-6 + 3) = (2/5)^ -3 = (5/2)^3 = 125/8
Ответы
Ответ дал:
0
Ответ:
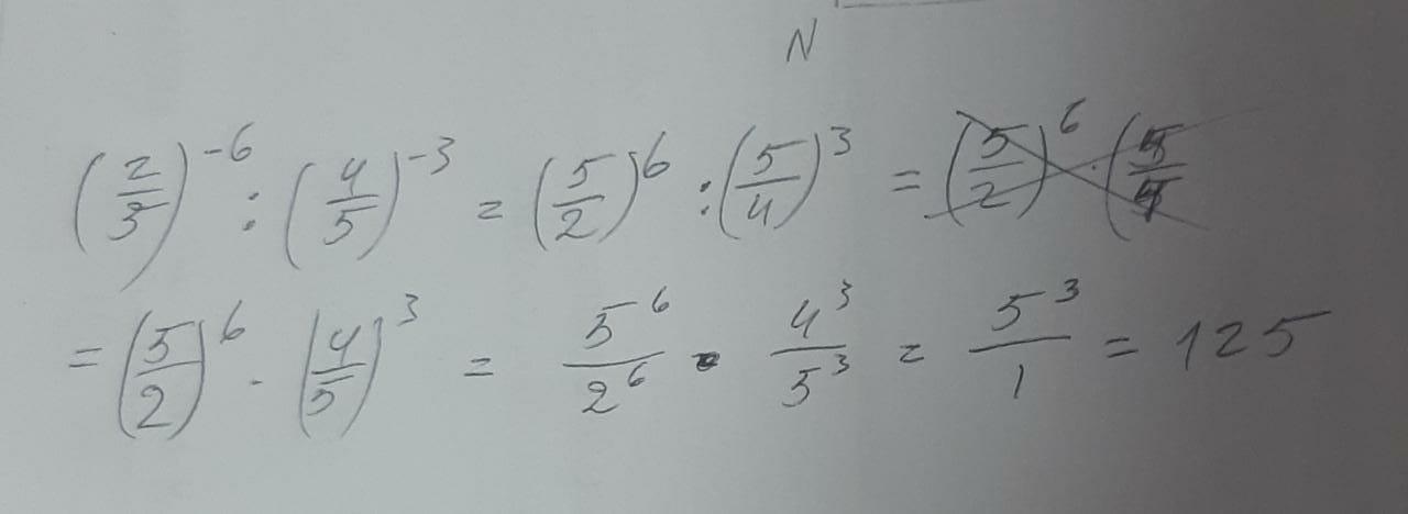
Если во второй скобки 4 то ответ 125
Объяснение:
Приложения:

Вас заинтересует
2 года назад
2 года назад
3 года назад
3 года назад
8 лет назад
8 лет назад
9 лет назад