• Предмет: Алгебра
  • Автор: Аноним
  • Вопрос задан 8 лет назад

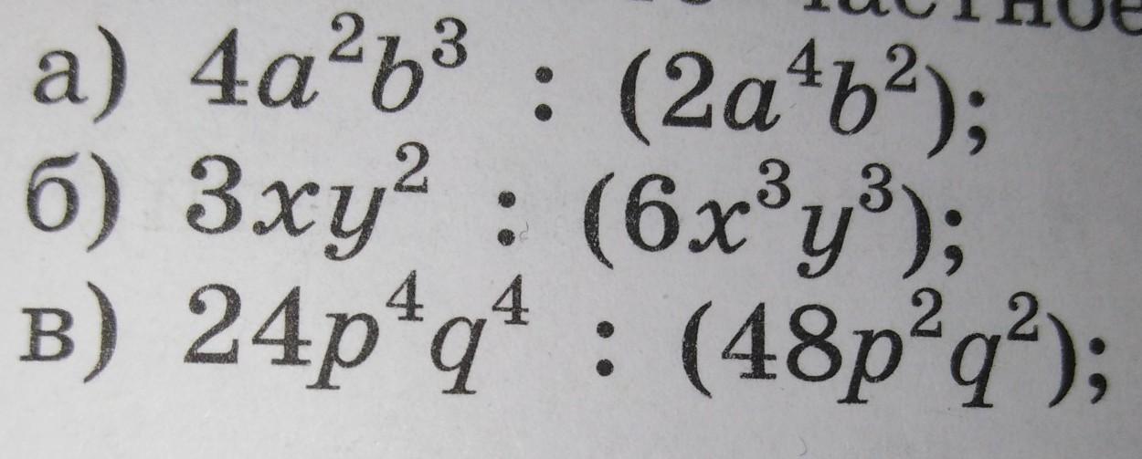
Даю 30 баллов решите (на фото) ​

Приложения:

Ответы

Ответ дал: ElizaTeplova
1

Объяснение:

решение на прикрепленном фото

Приложения:
Вас заинтересует