• Предмет: Математика
  • Автор: kydyralikarakat71
  • Вопрос задан 8 лет назад

срч
надо пжжжжжжжжжжжжж​

Приложения:

Ответы

Ответ дал: iramazurk
1

Ответ:

Пошаговое объяснение:

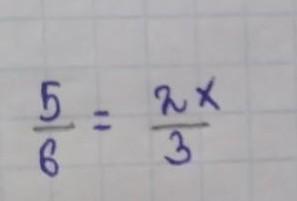
2х = 5 * 3 / 6

2х = 15/6

х = 15/6 : 2

х = 15/6 * 1/2

х = 15/12

х = 5/4

х = 1. 1/4 или 1,25

Вас заинтересует