• Предмет: Алгебра
  • Автор: stenocka
  • Вопрос задан 8 лет назад

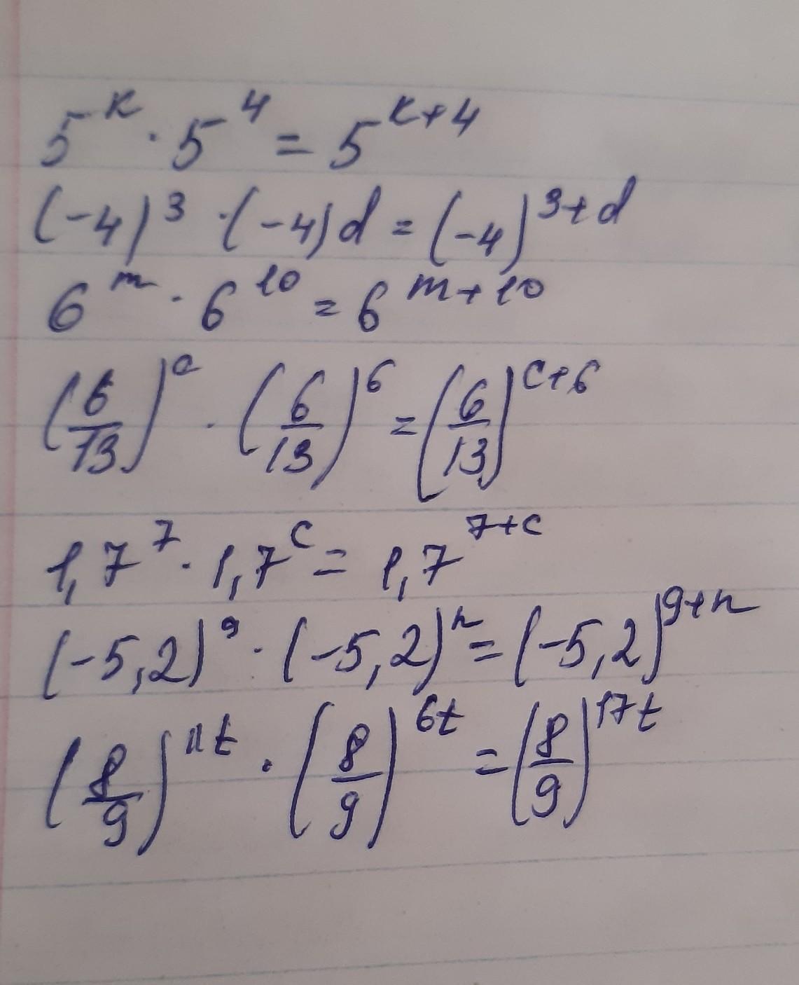
Упростите выражения
2,7

Приложения:

Ответы

Ответ дал: bahmatovaemilia86
1

Ответ:

(5)к+4

(6)m+10

(1,7)7+c

(-4)3+d

(6/13)c+6

(-5,2)9+n

И второе по такому же принципу

Ответ дал: bahytgulkabylainova
1

Объяснение:

см фото,,,,,,,,,,,,,,,,,,,

Приложения:
Вас заинтересует