• Предмет: Алгебра
  • Автор: lager816
  • Вопрос задан 8 лет назад

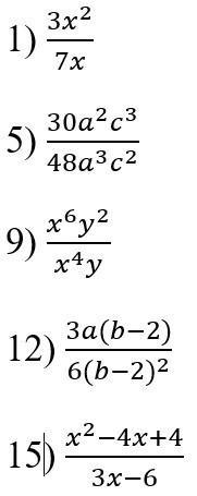
Сократите пжжжжжжж. ​

Приложения:

Ответы

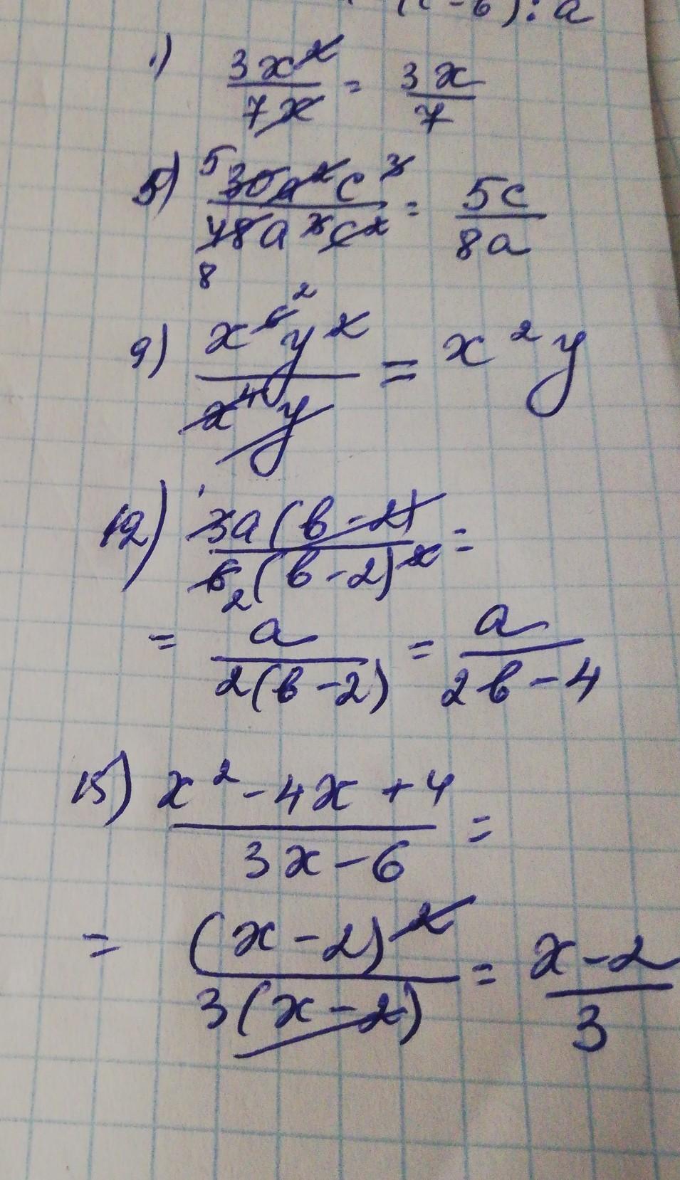
Ответ дал: larisaserova53
1

Ответ:

Смотри решение на фото выше

Приложения:
Вас заинтересует