• Предмет: Алгебра
  • Автор: lager816
  • Вопрос задан 8 лет назад

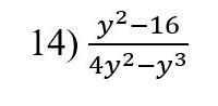
Сократите пожалуйста))))))))))) ​

Приложения:

Ответы

Ответ дал: vika17373
0

Ответ:

y+4

_ ________

y в квадрате


sysoev2007egor: неправильно
lager816: дайте ответ, посдений пример, я сижу голову ломаю
Вас заинтересует