• Предмет: Алгебра
  • Автор: Аноним
  • Вопрос задан 8 лет назад

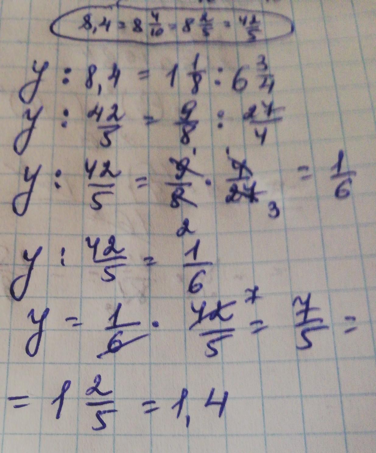
Найдите неизвестный член пропорции : y : 8,4 = 1 1/8 : 6 3/4
Со всеми столбиками и желательно с фото

Ответы

Ответ дал: larisaserova53
0

Ответ:

Смотри решение на фото выше

Приложения:

larisaserova53: то, что вверху не пиши, это я для тебя сделала, перевела десятичную дробь в неправильную
larisaserova53: Что ты увидел(а) откуда это число взялось
Вас заинтересует