• Предмет: Алгебра
  • Автор: kkikkkk
  • Вопрос задан 8 лет назад

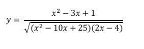
помогите алгебру решить...​
одз найти надо

Приложения:

Ответы

Ответ дал: iliyalyubarev
1

Ответ:

ОДЗ = (2,5) и (5,∞)

Объяснение:

ОДЗ - допустимые значения x

Знаменатель не должен быть равен 0

Выражение под корнем должно быть больше 0

x^{2} -10*x+25 = (x-5)*(x-5)

x \neq 5 и x \neq  2

(x-5)*(x-5) = (x-5)^{2} >=0

2x-4 >0

x >= 2

Вас заинтересует