• Предмет: Алгебра
  • Автор: rudenkoalina836
  • Вопрос задан 8 лет назад

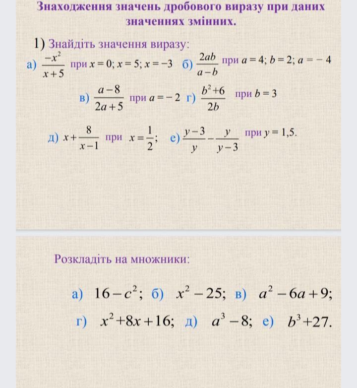
Пожалуйста помогите!!! Срочно!!!! С Алгеброй!!!!! Пожалуйста!!!

Приложения:

Ответы

Ответ дал: mnsxz1sk
0
Все задания ? ???????

rudenkoalina836: Да
Вас заинтересует