• Предмет: Математика
  • Автор: ssvq3
  • Вопрос задан 8 лет назад

даю 70 балов! решите часть теста

Приложения:

Ответы

Ответ дал: artemijkurganov
1

Ответ:

Пошаговое объяснение:

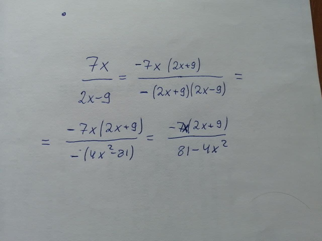
Домножили числитель и знаменатель на -1 \cdot (2x + 9)

Приложения:

Аноним: это не правильно
artemijkurganov: да, там x вверху пропустил
artemijkurganov: исправил
ssvq3: спасибо
ssvq3: а то только седне в шк возрощаюсь из новых тем ниче незнаю
artemijkurganov: в каком классе такие задачки дают?)
ssvq3: 8 вроде как это посторение но за каникулы все забыл
ssvq3: и опять забываю запятые ставить
Вас заинтересует