• Предмет: Математика
  • Автор: 23taech
  • Вопрос задан 8 лет назад

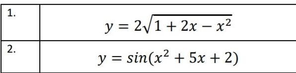
решите, пожалуйста (полностью решение) ​

Приложения:

Ответы

Ответ дал: troyseewww
1

Ответ:

1. -

2. y' = (sin ( x²+5x+2 ))' = cos( x²+5x+2 ) • ( 2x+5 )

Вас заинтересует