• Предмет: Математика
  • Автор: 4742kami56
  • Вопрос задан 8 лет назад

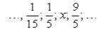
Записаны несколько последовательных членов геометрической прогрессии. Найдите член прогрессии, обозначенный буквой x.

Приложения:

Ответы

Ответ дал: artemijkurganov
1

Ответ: {3 \over 5}

Пошаговое объяснение:

Знаменатель геометрической прогрессии:

q = {1 \over 5} : {1 \over 15} = 3

Тогда x = {1 \over 5} q = {1 \over 5}\cdot 3 = {3 \over 5}

Вас заинтересует