• Предмет: Алгебра
  • Автор: casseyy
  • Вопрос задан 8 лет назад

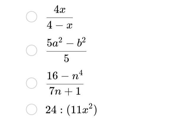
найдите рациональное выражение, допустимыми значениями которого являются все числа ​

Приложения:

Аноним: Только вторая дробь. У остальных знаменатель может = 0.

Ответы

Ответ дал: SAHAROKBAGS
1

Ответ:2 ответ

Объяснение:

Вас заинтересует