• Предмет: Математика
  • Автор: wewevesha
  • Вопрос задан 8 лет назад

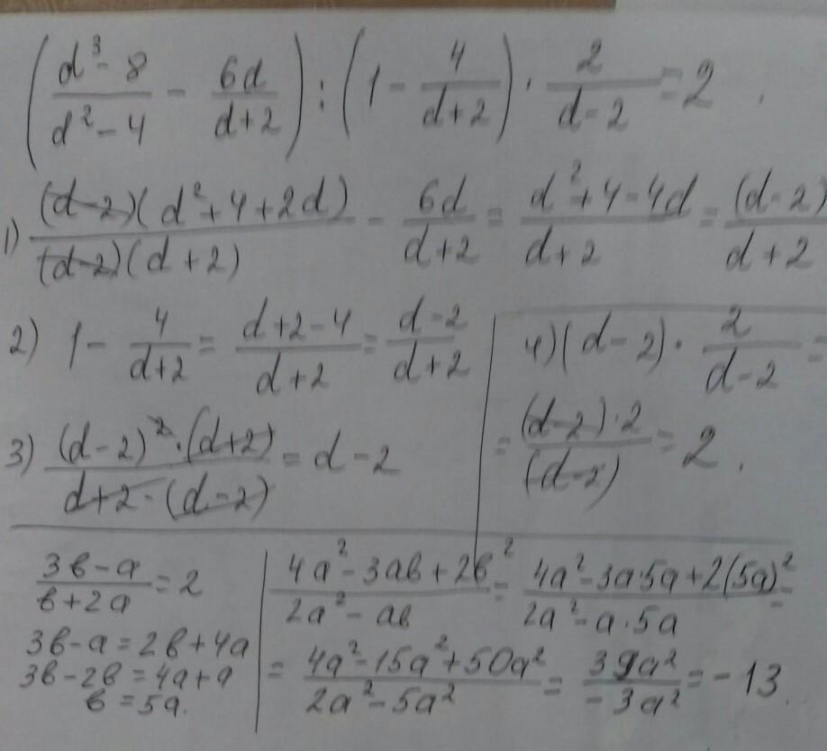
помогите с решением двух зданий

Приложения:

Ответы

Ответ дал: TamillaAmirbeyova
1

Ответ:

...............................

Приложения:
Вас заинтересует