• Предмет: Алгебра
  • Автор: ситуация
  • Вопрос задан 10 лет назад

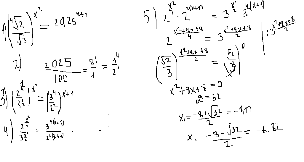
Дана дробь: в числителе корень 4-ой степени из двух, в знаменателе-  квадратный корень из трёх. Вся дробь возведена в степень (х²+4). Всё = 20,25 в степени (х+1). Решить уравнение.

Ответы

Ответ дал: SilberStein
0
Смотри вложения))))))))))))))))
Приложения:
Ответ дал: Mydrый
0
решениеееееееееееееееееееееееееееее
Приложения:
Вас заинтересует