• Предмет: Алгебра
  • Автор: youngq
  • Вопрос задан 8 лет назад

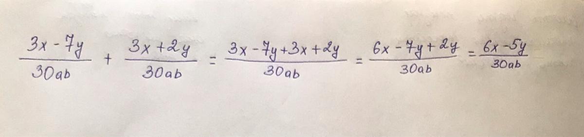
Упростить срочно, помогите!!
\frac{3x-7y}{30ab}

Ответы

Ответ дал: ymnik228net
1

Ответ:

а=0

Объяснение:

во))))))))))))))))

Приложения:

youngq: эт как
ymnik228net: мы выражаем "а" соответвенно делим
ymnik228net: и в итоге получаем "а" = 0
Ответ дал: AGATATA111
0
Смотри ответ на фото
Приложения:
Вас заинтересует