• Предмет: Алгебра
  • Автор: Аноним
  • Вопрос задан 8 лет назад

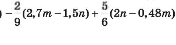
ПОМОГИТЕ РЕШИТЬ!!! СРОЧНО! ​

Приложения:

Ответы

Ответ дал: Lylit
1

Ответ:

-1m+2n

Объяснение:

Решение прикреплено

Приложения:
Вас заинтересует