• Предмет: Алгебра
  • Автор: zoldashansati8
  • Вопрос задан 8 лет назад

помогите Пожалуста ​

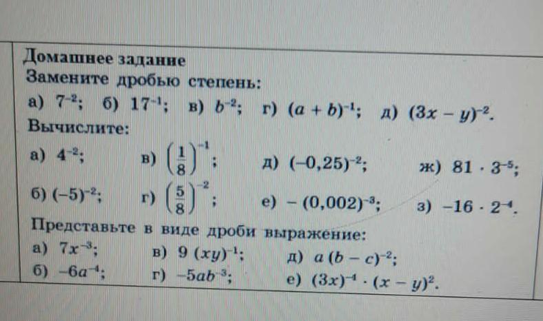
Приложения:

Ответы

Ответ дал: mussayevaaktoty
1

Объяснение:

1) a) 1/7³

b) 1/+7

c) 1/b²

d) 1/(a+b)

e) 1/(3x-y)²

2) a) 1/4²=1/16

b) 1/(-5)²=1/25

c) 8

d) (8/5)²=64/25

e) 1/(-0,25)²=(-4)²=16

f) -1/(0,002)³=-50³=-125000

g) 81/3⁵=1/3

h) -16/2⁴=-1

3) a) 7/x³

b) -6/a⁴

c) 9/xy

d) -5a/b³

e) a/(b-c)²

f) (x-y)²/(3x)⁴


zoldashansati8: спасиииибо большое я очень тебе благодарна
Вас заинтересует