• Предмет: Математика
  • Автор: kan76376
  • Вопрос задан 8 лет назад

Помогите!! :( решить ​

Приложения:

xacku2020: эх

Ответы

Ответ дал: xacku2020
2

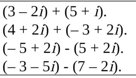
( 3-2i)+(5+i)=( 3+5)+(-2i+i)=8-i

(4+2i)+(-3+2i)=( 4-3)+(2i+2i)=1+4i

(-5+2i)-(5+2i)=(  -5-5)+(2i -2i)= -10 +0i=-10

( -3-5i)- (7-2i)=( -3 -7 )+(-5i+2i)= -10- 3i

Вас заинтересует