• Предмет: Алгебра
  • Автор: kseniagalisnikova2
  • Вопрос задан 8 лет назад

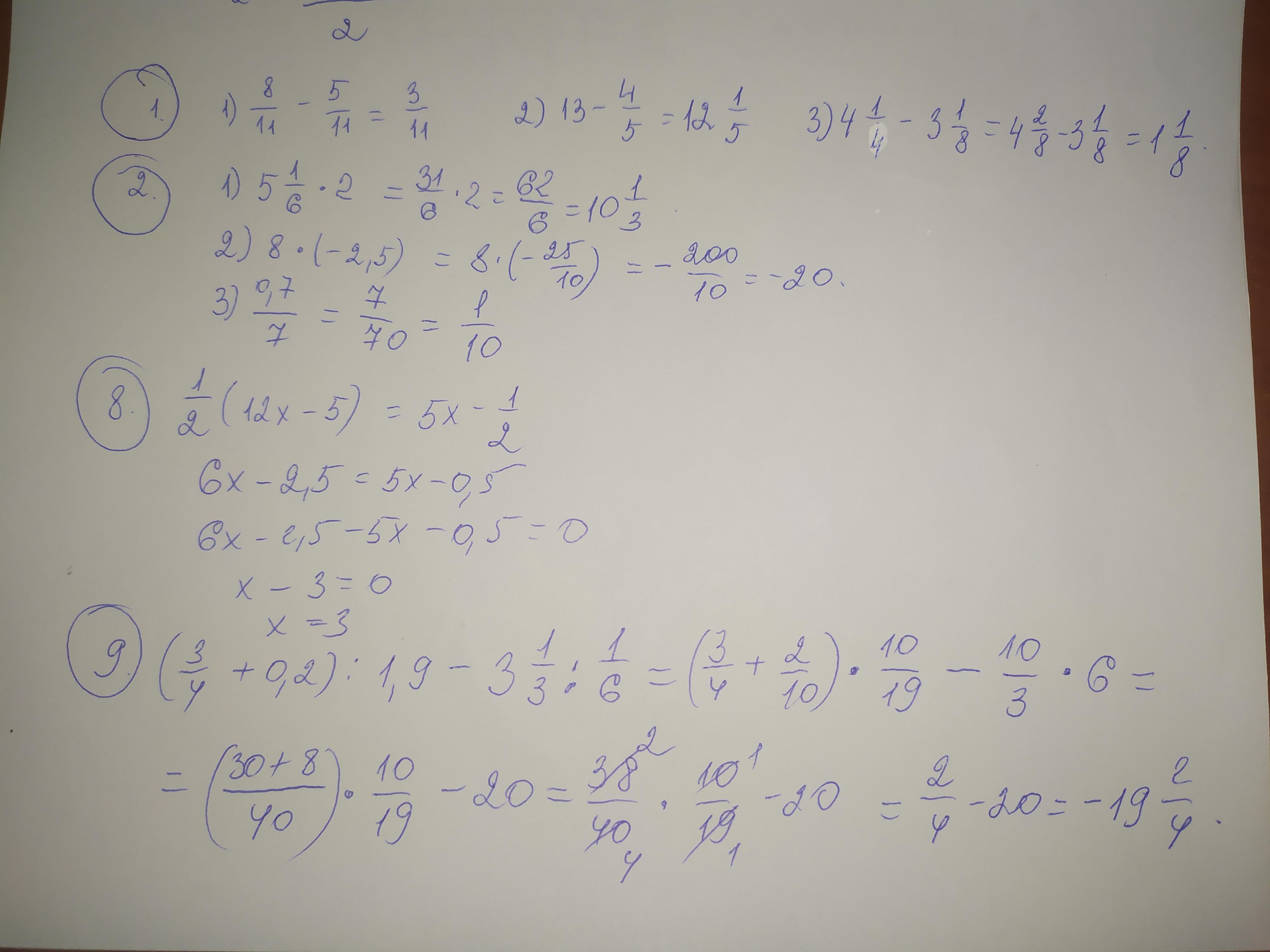
Решите пожалуйста! Лучше побыстрее ! 50 баллов. Решить 1,2,8,9

Приложения:

olgasurodina2009: это не 50 б ты нас не обманешь
zebra123458: лол, ПаНиМаЮ тоже была это фигня
zebra123458: 25 тоже норм

Ответы

Ответ дал: Мишкабаянов
2

Решение на фото

......

Приложения:
Вас заинтересует