Ответы
                                            Ответ дал: 
                                                                                            
                                                    
                                                
                                                                                    
                                        
                                            
                                                
                                                
                                                
                                                    1
                                                
                                            
                                        
                                    Ответ:
44
Объяснение:
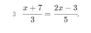
5(x+7)=3(2x-3)
5x+35=6x-9
5x-6x=-9-35
-x=-44
x=44
                    mitrushin1979:
                    привет
                
            
                    
                    у тебя по решению 44
                
            
                    
                    приветик, прости, пожалуйста, я ошиблась, ответ 46,а так, решение правильное
                
            
                    
                    ой, ответ 44
                
            
                                            Ответ дал: 
                                                                                    
                                        
                                            
                                                
                                                
                                                
                                                    1
                                                
                                            
                                        
                                    Объяснение:
Всё это равно:
(X+7)x5=(2X-3)x3
5x+35=6x-9
5x-6x=-35-9
-x=-44
x=44
Ответ:44.
x-знак умножение
                    
                    прости, пожалуйста, я ошиблась, не 46,а 44❤️
                
            Вас заинтересует
                
                        2 года назад
                    
                
                        2 года назад
                    
                
                        3 года назад
                    
                
                        8 лет назад
                    
                
                        8 лет назад
                    
                