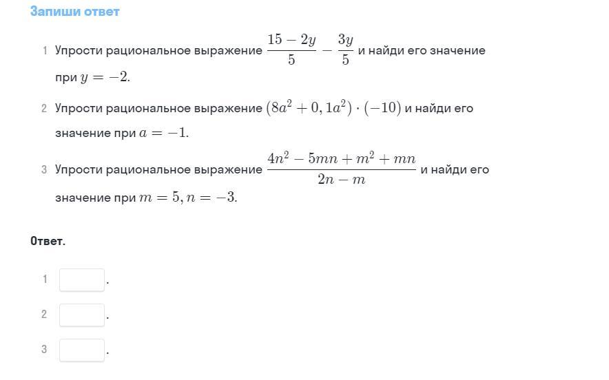
40 баллов решите пжпжжпжп
Приложения:

nurajslanbekova:
Можешь написать подалуйста на фото не могу решить
Ответы
Ответ дал:
0
Я сначала увидела только 3 и по этому Всё наоборот
Приложения:

Вас заинтересует
2 года назад
2 года назад
3 года назад
3 года назад
8 лет назад
9 лет назад