• Предмет: Алгебра
  • Автор: yarodioxa
  • Вопрос задан 8 лет назад

Срочно! 21 балл за ответ

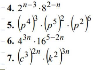
Приложения:

Ответы

Ответ дал: annagntrv5
0

Ответ:

2^-2n+3

p^36

4^-n+2b

c^6n↓k⁶n

Объяснение:

^это стрелка означает что надо писать с верху

↓ это стрелка означает что надо обычно писать

и если что то я сразу ответы написала


yarodioxa: Огромное спасибо!
Вас заинтересует