• Предмет: Алгебра
  • Автор: Аноним
  • Вопрос задан 8 лет назад

АААААААААААААААААААААААА СРОЧНО

Приложения:

Ответы

Ответ дал: akim86154
0

Ответ:

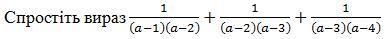
1/(a-1)(a-2)+1/(a-2)(a-3)+1/(a-3)(a-4) =

(a-3) / (a-1)(a-2)(a-3) + (a-1)/ (a-1)(a-2)(a-2) + (а-1)/(a-1)(a-3)(a-4) =

(a-3+a-1)/ (a-1)(a-2)(a-3) + (a-1)/(a-1)(a-3)(a-4) =

(2a-4)/(a-1)(a-2)(a-3)+ (a-1)/(a-1)(a-3)(a-4) =

2(a-2)/(a-2)(a-1)(a-3) + (a-1)/(a-1)(a-3)(a-4) =

2/(a-1)(a-3) + (a-1)/(a-1)(a-4)(a-3)=

2(a-4)/(a-4)(a-1)(a-3) + (a-1)/(a-1)(a-4)(a-3) =

(2a-8 + a- 1) / (a-1)(a-4)(a-3)=

(3a-9) / (a-1)(a-4)(a-3) =

3(a-3)/(a-1)(a-4)(a-3)=

3/(a-1)(a-4) =

3/(a²-4a-a+4) =

3/(a²-4a+4)

Вас заинтересует