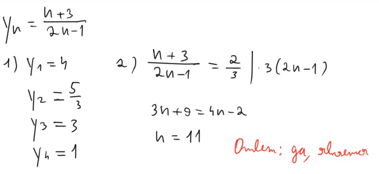
Числовая последовательность y(n) задана формулой: y(n)=n+3/2n-1
1) вычислите первые 4 члена данной последовательности
2) является ли членом последовательности число 2/3
Ответы
Ответ дал:
0
Решение на картинке.
Приложения:

Вас заинтересует
2 года назад
2 года назад
8 лет назад
8 лет назад
10 лет назад