• Предмет: Алгебра
  • Автор: ulyafilkina
  • Вопрос задан 8 лет назад

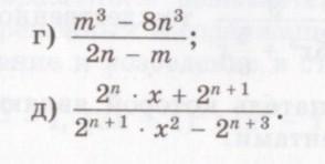
сократите дроби:
m^2-8n^3/2n-m
2n^2×x+2^n+1/2^n+1×x^2-2^n+3​

Приложения:

FLOWERHEAVEN: ща все будет

Ответы

Ответ дал: FLOWERHEAVEN
1

Ответ:

2^n+1^ •n× x+4^n+1+2^nײ-21•2^n•n+2^n•y2^n

Вас заинтересует