• Предмет: Математика
  • Автор: madina6017
  • Вопрос задан 8 лет назад

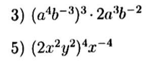
помогите пжж.. срочно​

Приложения:

Ответы

Ответ дал: mltmelt
1

Ответ:

3) 2a*15b*-11

5) 2x*4y*8

Пошаговое объяснение:

Вас заинтересует