• Предмет: Алгебра
  • Автор: Kabyrsina
  • Вопрос задан 8 лет назад

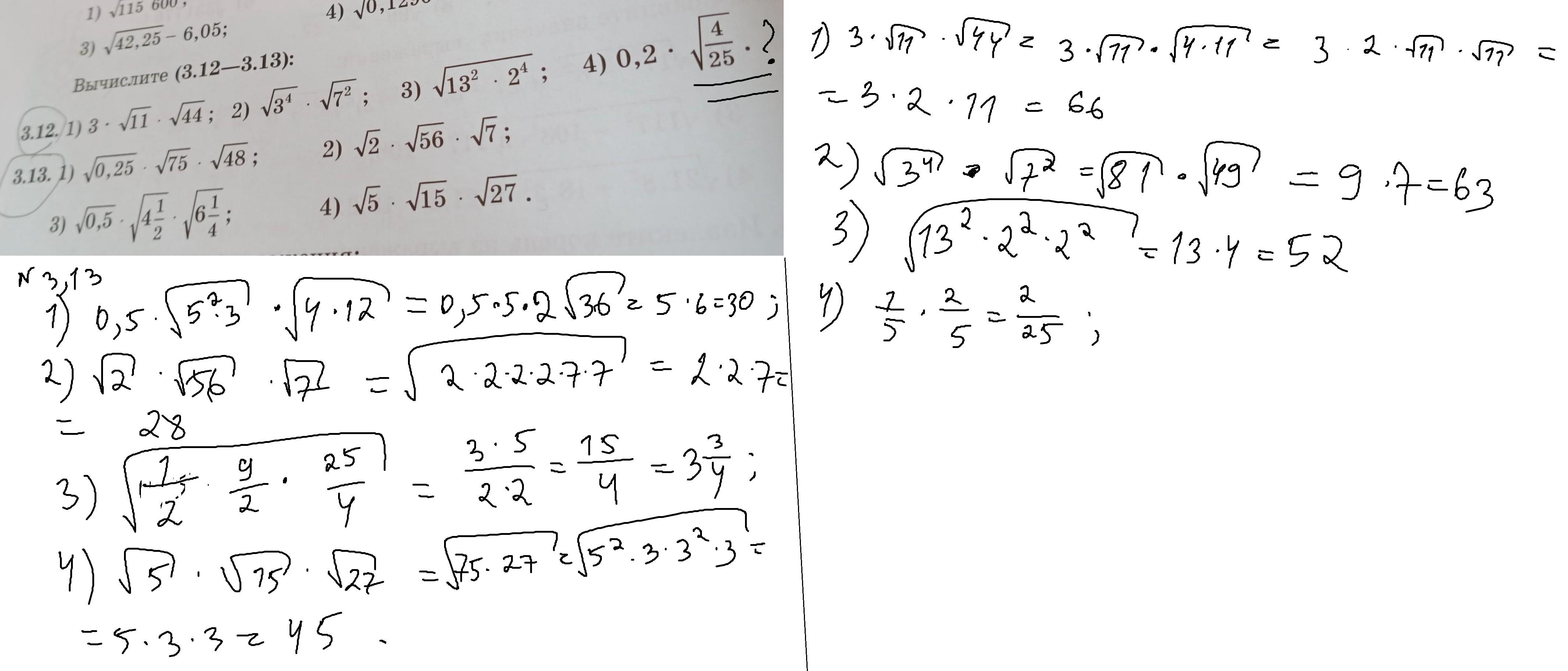
Вычислите 3,12. И 3,13​ срочно!

Приложения:

Ответы

Ответ дал: chelovek12369655888
1

Ответ:

фото

Объяснение:

Приложения:
Вас заинтересует