• Предмет: Алгебра
  • Автор: thespartaplay294
  • Вопрос задан 8 лет назад

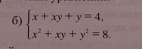
98. Решите систему симметрических уравнений:​

Приложения:

Ответы

Ответ дал: bb573878
1

Ответ:

Объяснение:

\displaystyle\\\left \{ {{x+xy+y=4} \atop {x^2+xy+y^2=8}} \right. \ \ \ \left \{ {{x+xy+y=4} \atop {x^2+2xy+y^2-xy=8}} \right.\ \ \ \left \{ {{x+y+xy=4} \atop {(x+y)^2-xy=8}} \right.\\\\\\(x+y)^2+(x+y)-12=0\\\\po\ Vieta\ x+y=-4\ \ ili\ \ x+y=3\\

1)

\displaystyle\\\left \{ {{x+y=-4} \atop {x+y+xy=4}} \right. \ \ \left \{ {{y=-x-4} \atop {-4+x(-x-4)=4}} \right. \ \ \left \{ {{y=-x-4} \atop {x^2+4x+8=0}} \right.

D=b² - 4ac = 16 - 32<0 ⇒∅

2)

\displaystyle\\\left \{ {{x+y=3} \atop {x+y+xy=4}} \right. \ \ \left \{ {{y=-x+3} \atop {3+xy=4}} \right. \ \ \left \{ {{y=-x+3} \atop {xy=1}} \right. \ \ \left \{ {{y=-x+3} \atop {x(-x+3)=1}} \right.\

x^2-3x+1=0\\\\D=9-4=5\\\\x_{1}=\dfrac{3-\sqrt{5} }{2} ;x_{2}=\dfrac{3+\sqrt{5} }{2} \\\\y_{1}=\dfrac{3+\sqrt{5} }{2} ;y_{2}=\dfrac{3-\sqrt{5} }{2}\\\\Otvet:\Bigg(\dfrac{3-\sqrt{5} }{2};\dfrac{3+\sqrt{5} }{2}\Bigg);\Bigg(\dfrac{3+\sqrt{5} }{2};\dfrac{3-\sqrt{5} }{2}\Bigg)


thespartaplay294: спасибо
Вас заинтересует