• Предмет: Алгебра
  • Автор: топинзеворлд
  • Вопрос задан 8 лет назад

СРОЧНО 100 БАЛЛОВ.

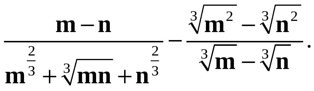
Помогите пожалуйста упростить выражение на картинке

Приложения:

Ответы

Ответ дал: bb573878
2

Ответ:

Объяснение:

\displaystyle\\\frac{m-n}{m^{\frac{2}{3}}+\sqrt[3]{mn}+n^{\frac{2}{3}}} -\frac{\sqrt[3]{m^2} -\sqrt[3]{n^2} }{\sqrt[3]{m}-\sqrt[3]{n}}=\\\\\\=\frac{(m^{\frac{1}{3}})^3 -(n^{\frac{1}{3}})^3}{m^{\frac{2}{3}}+\sqrt[3]{mn}+n^{\frac{2}{3}}} -\frac{\sqrt[3]{m^2} -\sqrt[3]{n^2} }{\sqrt[3]{m}-\sqrt[3]{n}}=\\\\\\

\displaystyle=\frac{(m^{\frac{1}{3}} -n^{\frac{1}{3}})(m^{\frac{2}{3}}+\sqrt[3]{mn}+n^{\frac{2}{3}})}{m^{\frac{2}{3}}+\sqrt[3]{mn}+n^{\frac{2}{3}}} -\frac{(\sqrt[3]{m} -\sqrt[3]{n})(\sqrt[3]{m}+\sqrt[3]{n} ) }{\sqrt[3]{m}-\sqrt[3]{n}}=\\\\\\=m^{\frac{1}{3}} -n^{\frac{1}{3}}-\sqrt[3]{m}-\sqrt[3]{n}=-2 \sqrt[3]{n}


топинзеворлд: гений
Вас заинтересует