Ответы
Ответ дал:
0
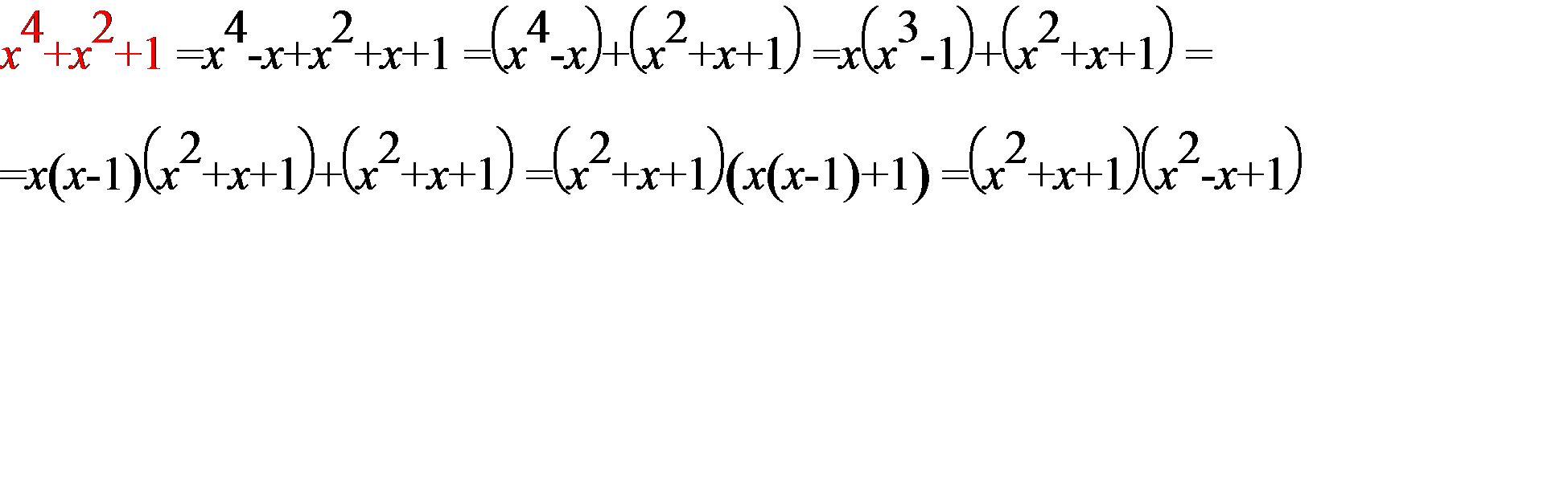
(x^2 - x + 1)(x^2 + x + 1)
вот как-то так, дорогой:)
Ответ дал:
0
файл
---------------------------------
Приложения:

Вас заинтересует
2 года назад
2 года назад
8 лет назад
10 лет назад
10 лет назад
10 лет назад