• Предмет: Алгебра
  • Автор: uupuw
  • Вопрос задан 8 лет назад

кто нибудь помогите с фото решение нужно всех(((

Приложения:

Ответы

Ответ дал: DiRaNs
1

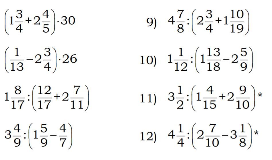
Ответ:

136,5

69,5

0,44

3,5

0,285

-1,1

0,84

-10

Объяснение:

(1 3/4 + 2 4/5) * 30 = (1 15/20 + 2 16/20) * 30 = 4 11/20 * 30 = 136,5

(1/13 - 2 3/4) * 26 = (4/52 - 2 39/52) * 26 = (-2 35/52) * 26 = 69,5

1 8/17 : (12/17 + 2 7/11) = 1 8/17 : (132/187 + 2 119/187) = 1 8/17 : 3 64/187 = 0,44

3 4/9  : (1 5/9 - 4/7) = 3 4/9 : (1 35/63 - 36/63) = 3,5

4 7/8 : (2 3/4 + 1 10/19) = 4 7/8 : (2 57/76 + 1 40/76) = 4 7/8 : 4 21/76 = 0,285

1 1/12 : ( 1 13/18 - 2 5/9) = 1 1/12 : ( 1 13/18 - 2 10/18) = 1 1/12 : (-15/18) = -1,1

3 1/2 : (1 4/15 + 2 9/10) = 3 1/2 : (1 8/30 + 2 27/30) = 3 1/2 : 4 1/6 = 0,84

4 1/4 : (2 7/10 - 3 1/8) = 4 1/4 : (2 28/40 - 3 5/40) = 4 1/4 : (-17/40) = -10


DiRaNs: буду рада "лучшему ответу"
Вас заинтересует