• Предмет: Алгебра
  • Автор: maksimhard20
  • Вопрос задан 8 лет назад

Номер 1.84 пожалуйста помогите мне срочно 1) 3)

Приложения:

Ответы

Ответ дал: bakulina1708
1

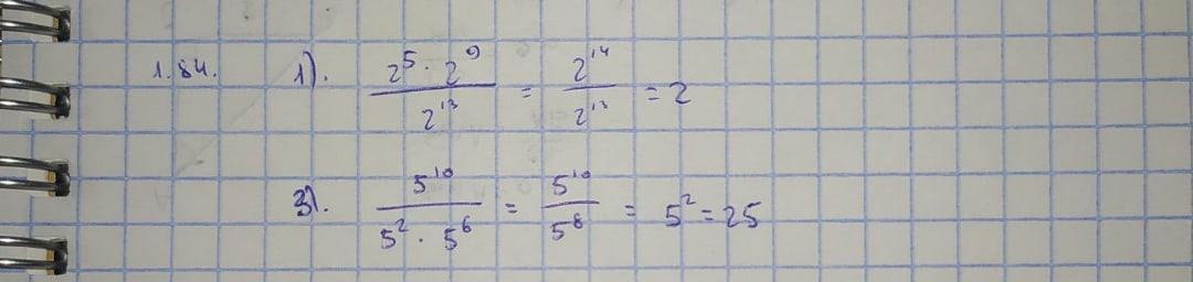
Ответ: на фото

Объяснение:

Приложения:

ziko180907: 1)2
ziko180907: 2)125
ziko180907: 3)25
Ответ дал: rakovaulia823
0

Ответ:

1.2

2.25 Надеюсь помогла Если нужен развёрнутый ответ то пиши


maksimhard20: Полностью
Вас заинтересует