Ответы
Ответ дал:
8
Ответ:
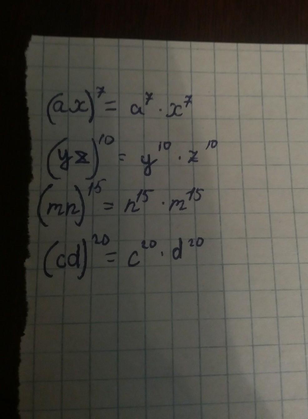
все на фото
Объяснение:
просто нажмите на рисунок и тогда он предстоит в полный экран
Приложения:

aliaametova1:
Спасибо
Вас заинтересует
3 года назад
8 лет назад
8 лет назад
9 лет назад